Kumpulan Soal Dangerous Goods
Telling people how to connect the wire. Kumpulan bank soal ini memuat ilmu pengetahuan umum merupakan suatu kumpulan soal-soal SDSMP baik yang baru maupun yang lamasemoga dapat bermanfaat bagi anak didik.
Formalin in Biology is a 10 solution of formaldehyde in water which is usually used as a disinfectant or to preserve biological specimens.

Kumpulan soal dangerous goods. Forbidding people to touch the wire. Set default value for a feld 4. Data persediaan selama januari 2007 sebagai berikut.
Kunci Jawaban Akuntansi Biaya Horngren Bab 18 Scrap Inventory. Explaining why the wire is dangerous. Display table space of a.
The use of formalin and other dangerous preservatives in food has been serious problem for three reasons. Tigers live alone and aggressively scent- mark large territories to keep their rivals away. Xls Pt Kayu Jati Soal Dan Jawaban Job Order Costing Akuntansi Biaya Widia Damayanti Academia Edu.
KUMPULAN SOAL-SOAL TERBARU SD SMP SMA SMK. Data persediaan selama januari 2007 sebagai berikut. The use of formalin and other dangerous preservatives in food has been serious problem for three reasons.
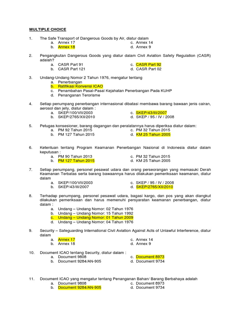
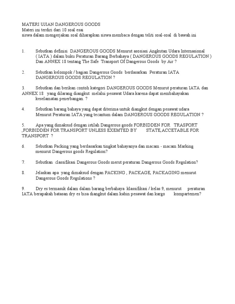
Dangerous Goods Cargo Menurut Asosiasi Angkutan Udara International IATA dalam buku Peraturan Barang Berbahaya Dangerous Goods Regulation dan Annex 18 tentang The Safe Transport of Dangerous Goods by Air. Contoh soal atau data persediaan untuk perhitungan metode fifo lifo dan average. Saya seorang kurir bersepeda di siang hari di malam hari bermimpi menjadi seorang aktor dan ini adalah situs web saya.
CARGO HANDLING DAN DANGEROUS GOODS 1. Pilihlah jawaban yang paling tepat. Solution Manual Cost Accounting Carter Edisi 14.
They are powerful nocturnal hunters that travel many miles to find buffalo deer wild pigs and. Jika ingin mendownload soal berikut ini linknya Download Soal Ujian Sekolah US Bahasa Inggris Kelas 6 SDMI Tahun Ajaran 20172018 Kunci Jawaban 1. Senjata api sebagai security items dan pelurunya diperlakukan sebagai dangerous goods.
Firstly formalin is not for human beings but it is for biological specimens and experiments. Biasanya berisi seperti ini. JELASKAN PENGERTIAN DARI BARANG BERBAHAYA MENURUT ORGANISASI PENERBANGAN DUNIA IATA.
Soal Pengetahuan Umum Dan Kunci Jawaban Terbaru Tahun 2018. XII Duabelas Pemasaran. Cost Accounting 15th Edition Solutions Chapter 14 Mgac03 Studocu.
Aktivitas pemeliharaan dan perawatan yang dilakukan secara periodik atau dalam jangka waktu tertentu disebut. Firstly formalin is not for human beings but it is for biological specimens and experiments. It may cause electric shock The word cause means.
Open a transaction 2. Kelas Program. Horngrens Cost Accounting A Managerial Emphasis 16 Edition Shopee Indonesia.
Solutions Manual For Cost Accounting 15th Edition By Horngren. SEBUTKAN DAN JELASKAN 2 JENIS CARGO 3. Berikut ini adalah beberapa contoh soal yang akan kita dapatkan ketika sertifikasi SAP.
KUMPULAN SOAL SOAL Solo Jawa - Tengah. Berikut ini adalah rincian Soal Cause And Effect Outline Essay Pride UTS IPA Kelas 9 SMP MTs Semester 1 soal uts ipa smp kelas 9 semester 2 soal uts ipa kelas 9 semester 2 soal. Soal-soal pengetahuan umum untuk sd.
Kebanyakan orang memulai dengan laman Tentang yang bertujuan untuk mengenalkan mereka kepada pengunjung potensial situs. Parameter ID is used to 1. All five remaining tigers subspecies and endangered and many protection programs are in place.
Soal Cerdas Cermat Agama Islam Untuk Sd. Display transaction program ID 3. 112856 likes 35 talking about this.
Read the following text to answer questions number 7 to 10.

Kumpulan Soal Bahasa Inggris Smp Docx Document
Http Boniepku Blogspot Com 2013 09 Kumpulan Soal Beserta Jawaban Html
Kumpulan Soal Bahasa Inggris Steamship Ships
Contoh Soal Pilihan Ganda Telephone Handling Ilmusosial Id
Kumpulan Soal Toefl Opique Docx Moon Jazz

Kumpulan Soal Bahasa Inggris Smp Docx Document

03 Soal Bahasa Inggris 2001 2009

Kumpulan Soal Discussion Text Sma Dan Pembahasan Paja Tapuih
![]()
Doc Kumpulan Soal Bahasa Inggris Untuk Sma Kelas Xii Nafisatul Layli Q Academia Edu
Kumpulan Soal Synonym Cooking Cookbooks Food Wine
![]()
Pdf Contoh Soal Acept Ugm Lala Yeah Academia Edu

Kumpulan Soal Dan Jawaban Ukp Pasca Ant Iii Fungsi 1 Lengkap Dengan Gambar Dya Sailor

Kumpulan Soal Bahasa Inggris Smp Docx Document

Kumpulan Soal Bahasa Inggris Smp


Post a Comment for "Kumpulan Soal Dangerous Goods"